Избранное
Войти
Меню
1 класс
Математика
2 класс
Математика
Русский язык
Окружающий мир
3 класс
Русский язык
Математика
Английский язык
Окружающий мир
4 класс
Русский язык
Математика
Английский язык
Окружающий мир
5 класс
Математика
Английский язык
Русский язык
6 класс
Математика
Русский язык
Английский язык
Биология
Немецкий язык
7 класс
Русский язык
Английский язык
Алгебра
Физика
Литература
Геометрия
8 класс
Английский язык
Русский язык
Алгебра
Геометрия
Физика
Химия
Немецкий язык
9 класс
Английский язык
Русский язык
Алгебра
Геометрия
Физика
Химия
Немецкий язык
10 класс
Английский язык
Русский язык
Алгебра
Геометрия
Химия
Физика
11 класс
Английский язык
Физика
Русский язык
Геометрия
Алгебра
1
2
3
4
5
6
7
8
9
10
11
Алгебра 10 класс - Алимов - ГДЗ
259
258
259
260
261
262
263
264
265
266
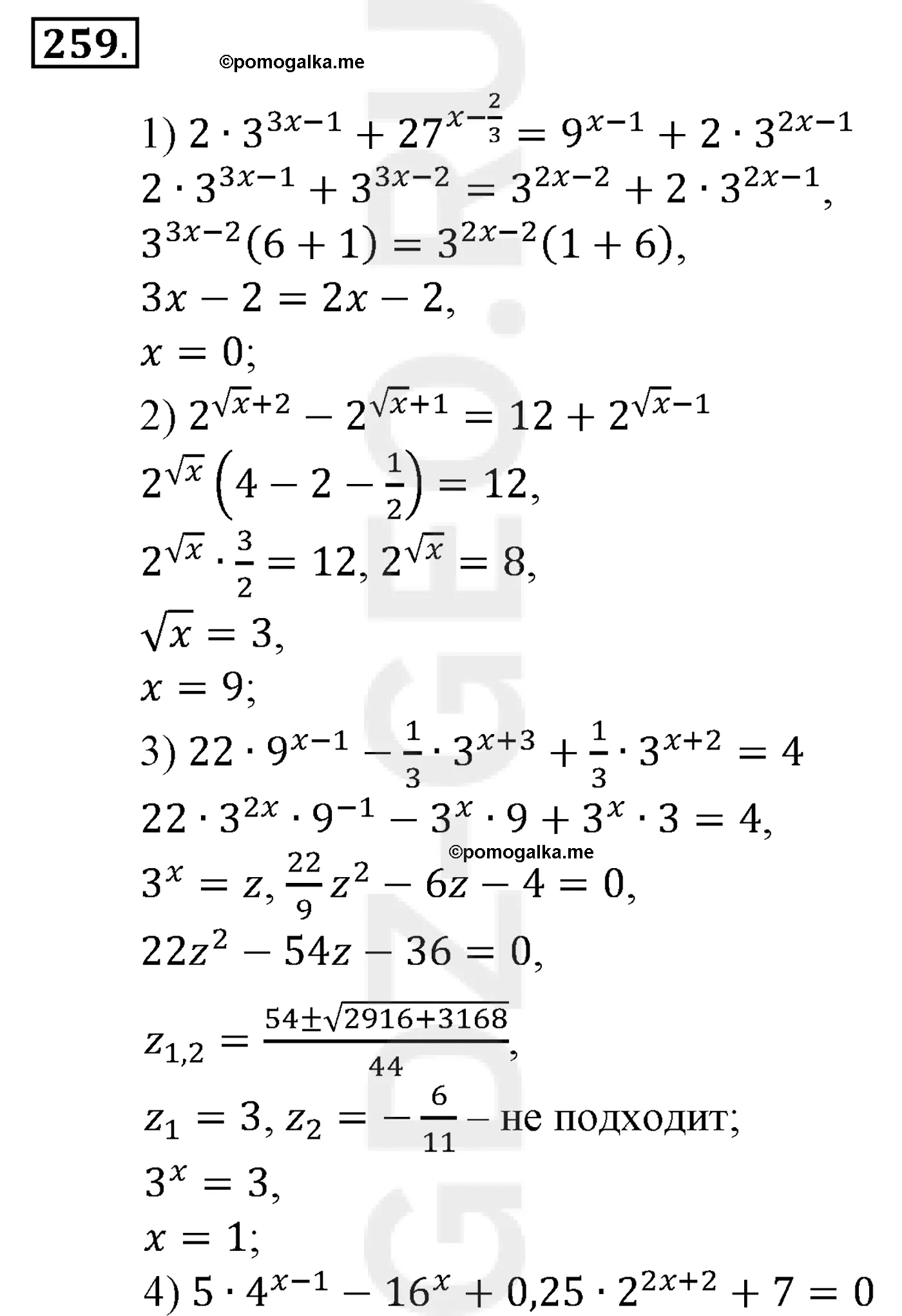
Условие:
1) 2*3^(3x-1) + 27^(x-2/3) = 9^(x-1) +2* 3^(2x-1);
2) 2^((корень x) + 2) - 2^((корень x) + 1) = 12 + 2^((корень x) - 1) ;
3) 22*9^(x-1) - 1/3*3^(x+3) +1/3*3^(x+2) =4;
4) 5*4^(x-1) -16x + 0,25 * 2^(2x+2) +7=0
Решение - 259:
258
259
260
261
262
263
264
265
266