Избранное
Войти
Меню
1 класс
Математика
2 класс
Математика
Русский язык
Окружающий мир
3 класс
Русский язык
Математика
Английский язык
Окружающий мир
4 класс
Русский язык
Математика
Английский язык
Окружающий мир
5 класс
Математика
Английский язык
Русский язык
6 класс
Математика
Русский язык
Английский язык
Биология
Немецкий язык
7 класс
Русский язык
Английский язык
Алгебра
Физика
Литература
Геометрия
8 класс
Английский язык
Русский язык
Алгебра
Геометрия
Физика
Химия
Немецкий язык
9 класс
Английский язык
Русский язык
Алгебра
Геометрия
Физика
Химия
Немецкий язык
10 класс
Английский язык
Русский язык
Алгебра
Геометрия
Химия
Физика
11 класс
Английский язык
Физика
Русский язык
Геометрия
Алгебра
1
2
3
4
5
6
7
8
9
10
11
Алгебра 10 класс - Алимов - ГДЗ
852
851
852
853
854
855
856
857
858
859
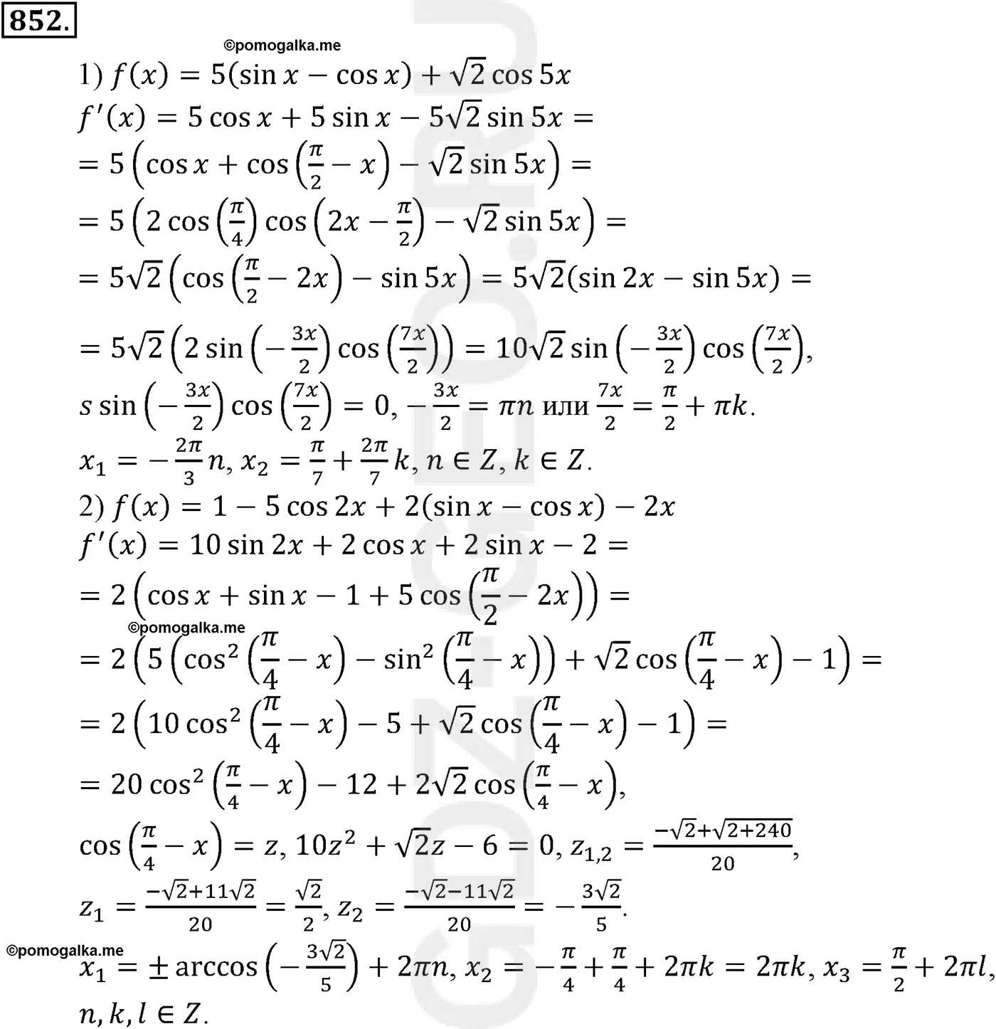
Условие:
Выяснить, при каких значениях х значение производной функции f (х) равно 0:
1) f (х) = 5 (sin х - cos х) + корень 2 cos 5х;
2) f (х) = 1 - 5 cos 2х + 2 (sin х - cos х) - 2х.
Решение - 852:
851
852
853
854
855
856
857
858
859