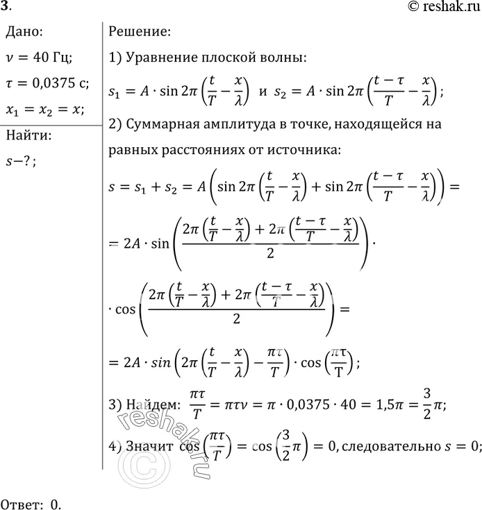
Условие:

3. Два когерентных источника излучают волны длиной 40 Гц с амплитудой А, при этом второй источник начинает излучать волны на 0,0375 с позже. Чему равна амплитуда колебаний в точке, находящейся на равных расстояниях от источников?

Решение - 3 - §34 Примеры решения задач по теме "Интерференция и дифракция механических волн".:

Решение 1