Условие:

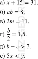
411 Переведите на математический язык предложение:
а) сумма числа х и числа 15 равна 31;
б) произведение чисел а и b равно 8;
в) удвоенное число m равно 11;
г) половина числа b равна 1,5;
д) разность чисел b и с больше 3;
е) произведение чисел 5 и х меньше числа у.

Решение - 411 - Задания:

Решение 1