Избранное
Войти
Меню
1 класс
Математика
2 класс
Математика
Русский язык
Окружающий мир
3 класс
Русский язык
Математика
Английский язык
Окружающий мир
4 класс
Русский язык
Математика
Английский язык
Окружающий мир
5 класс
Математика
Английский язык
Русский язык
6 класс
Математика
Русский язык
Английский язык
Биология
Немецкий язык
7 класс
Русский язык
Английский язык
Алгебра
Физика
Литература
Геометрия
8 класс
Английский язык
Русский язык
Алгебра
Геометрия
Физика
Химия
Немецкий язык
9 класс
Английский язык
Русский язык
Алгебра
Геометрия
Физика
Химия
Немецкий язык
10 класс
Английский язык
Русский язык
Алгебра
Геометрия
Химия
Физика
11 класс
Английский язык
Физика
Русский язык
Геометрия
Алгебра
1
2
3
4
5
6
7
8
9
10
11
Математика 6 класс - Бунимович - ГДЗ
563
562
563
564
565
566
567
568
569
570
Условие:
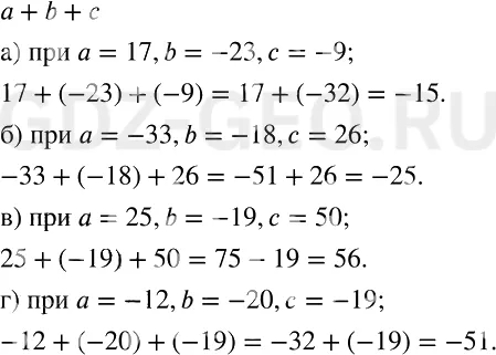
563 Найдите значение суммы а + b + с при указанных значениях а, b и с:
а) а = 17, b = -23, с = -9;
б) а = -33, b = -18, с = 26;
в) а = 25, b = -19, с = 50;
г) а = -12, b = -20, с = -19.
Решение - 563 - Задания:
562
563
564
565
566
567
568
569
570