Избранное
Войти
Меню
1 класс
Математика
2 класс
Математика
Русский язык
Окружающий мир
3 класс
Русский язык
Математика
Английский язык
Окружающий мир
4 класс
Русский язык
Математика
Английский язык
Окружающий мир
5 класс
Математика
Английский язык
Русский язык
6 класс
Математика
Русский язык
Английский язык
Биология
Немецкий язык
7 класс
Русский язык
Английский язык
Алгебра
Физика
Литература
Геометрия
8 класс
Английский язык
Русский язык
Алгебра
Геометрия
Физика
Химия
Немецкий язык
9 класс
Английский язык
Русский язык
Алгебра
Геометрия
Физика
Химия
Немецкий язык
10 класс
Английский язык
Русский язык
Алгебра
Геометрия
Химия
Физика
11 класс
Английский язык
Физика
Русский язык
Геометрия
Алгебра
1
2
3
4
5
6
7
8
9
10
11
Математика 6 класс - Виленкин, Жохов, Чесноков, Шварцбурд - ГДЗ
2.136
2.135
2.136
2.137
2.138
2.139
2.14
2.141
2.142
2.143
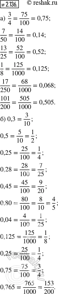
Условие:
2.136. Запишите в виде:
а) десятичной дроби 3/4, 7/50, 13/25, 1/8, 17/250, 101/200;
б) обыкновенной несократимой дроби 0,3; 0,5; 0,25; 0,28; 0,45; 0,80; 0,04; 0,125; 0,25; 0,75; 0,765.
Решение - 2.136 - §2 Действия со смешанными числами:
2.135
2.136
2.137
2.138
2.139
2.14
2.141
2.142
2.143