Избранное
Войти
Меню
1 класс
Математика
2 класс
Математика
Русский язык
Окружающий мир
3 класс
Русский язык
Математика
Английский язык
Окружающий мир
4 класс
Русский язык
Математика
Английский язык
Окружающий мир
5 класс
Математика
Английский язык
Русский язык
6 класс
Математика
Русский язык
Английский язык
Биология
Немецкий язык
7 класс
Русский язык
Английский язык
Алгебра
Физика
Литература
Геометрия
8 класс
Английский язык
Русский язык
Алгебра
Геометрия
Физика
Химия
Немецкий язык
9 класс
Английский язык
Русский язык
Алгебра
Геометрия
Физика
Химия
Немецкий язык
10 класс
Английский язык
Русский язык
Алгебра
Геометрия
Химия
Физика
11 класс
Английский язык
Физика
Русский язык
Геометрия
Алгебра
1
2
3
4
5
6
7
8
9
10
11
Математика 6 класс - Виленкин, Жохов, Чесноков, Шварцбурд - ГДЗ
3.161
3.16
3.161
3.162
3.163
3.164
3.165
3.166
3.167
3.168
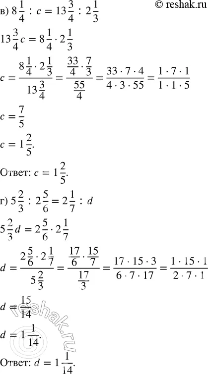
Условие:
3.161. Решите уравнение:
а) 3 2/3 : a = 4 8/9 : 1 5/7; в) 8 1/4 : c = 13 3/4 : 2 1/3;
б) 1 7/8 : 2 1/3 = 3 3/4 : b; г) 5 2/3 : 2 5/6 = 2 1/7 : d.
Решение 1 - 3.161 - §3 Отношения и пропорции:
Решение 2 - 3.161:
3.16
3.161
3.162
3.163
3.164
3.165
3.166
3.167
3.168