Избранное
Войти
Меню
1 класс
Математика
2 класс
Математика
Русский язык
Окружающий мир
3 класс
Русский язык
Математика
Английский язык
Окружающий мир
4 класс
Русский язык
Математика
Английский язык
Окружающий мир
5 класс
Математика
Английский язык
Русский язык
6 класс
Математика
Русский язык
Английский язык
Биология
Немецкий язык
7 класс
Русский язык
Английский язык
Алгебра
Физика
Литература
Геометрия
8 класс
Английский язык
Русский язык
Алгебра
Геометрия
Физика
Химия
Немецкий язык
9 класс
Английский язык
Русский язык
Алгебра
Геометрия
Физика
Химия
Немецкий язык
10 класс
Английский язык
Русский язык
Алгебра
Геометрия
Химия
Физика
11 класс
Английский язык
Физика
Русский язык
Геометрия
Алгебра
1
2
3
4
5
6
7
8
9
10
11
Математика 6 класс - Виленкин, Жохов, Чесноков, Шварцбурд - ГДЗ
4.108
4.107
4.108
4.109
4.11
4.111
4.112
4.113
4.114
4.115
Условие:
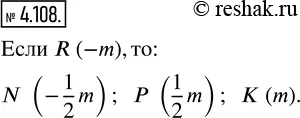
4.108. Найдите координаты точек К, N и Р, если известна координата точки R (рис. 20).
Решение - 4.108 - §4 Действия с рациональными числами:
4.107
4.108
4.109
4.11
4.111
4.112
4.113
4.114
4.115