Избранное
Войти
Меню
1 класс
Математика
2 класс
Математика
Русский язык
Окружающий мир
3 класс
Русский язык
Математика
Английский язык
Окружающий мир
4 класс
Русский язык
Математика
Английский язык
Окружающий мир
5 класс
Математика
Английский язык
Русский язык
6 класс
Математика
Русский язык
Английский язык
Биология
Немецкий язык
7 класс
Русский язык
Английский язык
Алгебра
Физика
Литература
Геометрия
8 класс
Английский язык
Русский язык
Алгебра
Геометрия
Физика
Химия
Немецкий язык
9 класс
Английский язык
Русский язык
Алгебра
Геометрия
Физика
Химия
Немецкий язык
10 класс
Английский язык
Русский язык
Алгебра
Геометрия
Химия
Физика
11 класс
Английский язык
Физика
Русский язык
Геометрия
Алгебра
1
2
3
4
5
6
7
8
9
10
11
Математика 6 класс - Виленкин, Жохов, Чесноков, Шварцбурд - ГДЗ
4.158
4.157
4.158
4.159
4.16
4.161
4.162
4.163
4.164
4.165
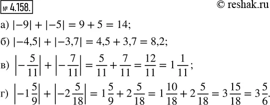
Условие:
4.158. Выполните сложение:
а) |-9| + |-5|; в) |-5/11| + |-7/11|
б) |-4,5| + |—3,7|; г) |-1 5/9| + |-2 5/18|.
Решение - 4.158 - §4 Действия с рациональными числами:
4.157
4.158
4.159
4.16
4.161
4.162
4.163
4.164
4.165