Избранное
Войти
Меню
1 класс
Математика
2 класс
Математика
Русский язык
Окружающий мир
3 класс
Русский язык
Математика
Английский язык
Окружающий мир
4 класс
Русский язык
Математика
Английский язык
Окружающий мир
5 класс
Математика
Английский язык
Русский язык
6 класс
Математика
Русский язык
Английский язык
Биология
Немецкий язык
7 класс
Русский язык
Английский язык
Алгебра
Физика
Литература
Геометрия
8 класс
Английский язык
Русский язык
Алгебра
Геометрия
Физика
Химия
Немецкий язык
9 класс
Английский язык
Русский язык
Алгебра
Геометрия
Физика
Химия
Немецкий язык
10 класс
Английский язык
Русский язык
Алгебра
Геометрия
Химия
Физика
11 класс
Английский язык
Физика
Русский язык
Геометрия
Алгебра
1
2
3
4
5
6
7
8
9
10
11
Математика 6 класс - Виленкин, Жохов, Чесноков, Шварцбурд - ГДЗ
4.284
4.283
4.284
4.285
4.286
4.287
4.288
4.289
4.29
4.291
Условие:
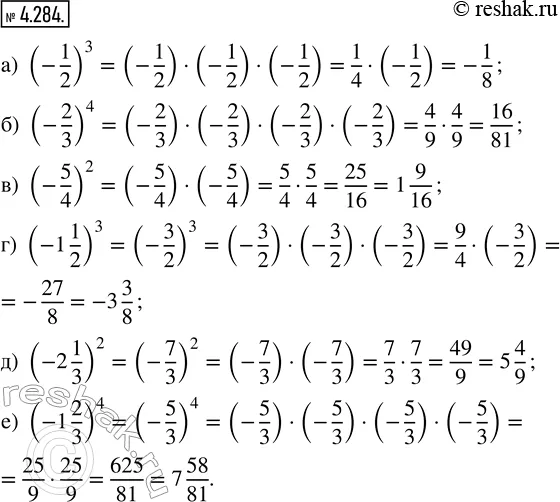
4.284. Вычислите степень дробного числа:
а) (-1/2)^3; б) (-2/3)^4; в) (-5/4)^2; г) (-1 1/2)^3; д) (-2 1/3)^2; е) (-1 2/3)^4.
Решение - 4.284 - §4 Действия с рациональными числами:
4.283
4.284
4.285
4.286
4.287
4.288
4.289
4.29
4.291