Избранное
Войти
Меню
1 класс
Математика
2 класс
Математика
Русский язык
Окружающий мир
3 класс
Русский язык
Математика
Английский язык
Окружающий мир
4 класс
Русский язык
Математика
Английский язык
Окружающий мир
5 класс
Математика
Английский язык
Русский язык
6 класс
Математика
Русский язык
Английский язык
Биология
Немецкий язык
7 класс
Русский язык
Английский язык
Алгебра
Физика
Литература
Геометрия
8 класс
Английский язык
Русский язык
Алгебра
Геометрия
Физика
Химия
Немецкий язык
9 класс
Английский язык
Русский язык
Алгебра
Геометрия
Физика
Химия
Немецкий язык
10 класс
Английский язык
Русский язык
Алгебра
Геометрия
Химия
Физика
11 класс
Английский язык
Физика
Русский язык
Геометрия
Алгебра
1
2
3
4
5
6
7
8
9
10
11
Математика 6 класс - Виленкин, Жохов, Чесноков, Шварцбурд - ГДЗ
4.379
4.378
4.379
4.38
4.381
4.382
4.383
4.384
4.385
4.386
Условие:
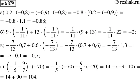
4.379. Вычислите значение выражения наиболее удобным способом:
а) 0,2 · (-0,8) - (-0,9) · (-0,8); в) -7/13 · 0,7 + 0,6 · (-7/13);
б) 9 · (-1/11) + 13 · (-1/11); г) (-1/5 - 9/7) · (-70).
Решение - 4.379 - §4 Действия с рациональными числами:
4.378
4.379
4.38
4.381
4.382
4.383
4.384
4.385
4.386