Избранное
Войти
Меню
1 класс
Математика
2 класс
Математика
Русский язык
Окружающий мир
3 класс
Русский язык
Математика
Английский язык
Окружающий мир
4 класс
Русский язык
Математика
Английский язык
Окружающий мир
5 класс
Математика
Английский язык
Русский язык
6 класс
Математика
Русский язык
Английский язык
Биология
Немецкий язык
7 класс
Русский язык
Английский язык
Алгебра
Физика
Литература
Геометрия
8 класс
Английский язык
Русский язык
Алгебра
Геометрия
Физика
Химия
Немецкий язык
9 класс
Английский язык
Русский язык
Алгебра
Геометрия
Физика
Химия
Немецкий язык
10 класс
Английский язык
Русский язык
Алгебра
Геометрия
Химия
Физика
11 класс
Английский язык
Физика
Русский язык
Геометрия
Алгебра
1
2
3
4
5
6
7
8
9
10
11
Математика 6 класс - Виленкин, Жохов, Чесноков, Шварцбурд - ГДЗ
4.393
4.392
4.393
4.394
4.395
4.396
4.397
4.398
4.399
Проверьте себя
Условие:
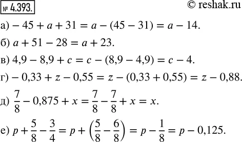
4.393. Упростите выражение:
а) -45 + а + 31; в) 4,9 - 8,9 + с; д) 7/8 - 0,875 + x;
б) а + 51 - 28; г) -0,33 + z - 0,55; е) p + 5/8 - 3/4.
Решение - 4.393 - §4 Действия с рациональными числами:
4.392
4.393
4.394
4.395
4.396
4.397
4.398
4.399
Проверьте себя