Избранное
Войти
Меню
1 класс
Математика
2 класс
Математика
Русский язык
Окружающий мир
3 класс
Русский язык
Математика
Английский язык
Окружающий мир
4 класс
Русский язык
Математика
Английский язык
Окружающий мир
5 класс
Математика
Английский язык
Русский язык
6 класс
Математика
Русский язык
Английский язык
Биология
Немецкий язык
7 класс
Русский язык
Английский язык
Алгебра
Физика
Литература
Геометрия
8 класс
Английский язык
Русский язык
Алгебра
Геометрия
Физика
Химия
Немецкий язык
9 класс
Английский язык
Русский язык
Алгебра
Геометрия
Физика
Химия
Немецкий язык
10 класс
Английский язык
Русский язык
Алгебра
Геометрия
Химия
Физика
11 класс
Английский язык
Физика
Русский язык
Геометрия
Алгебра
1
2
3
4
5
6
7
8
9
10
11
Математика 6 класс - Виленкин, Жохов, Чесноков, Шварцбурд - ГДЗ
5.27
5.26
5.27
5.28
5.29
5.3
5.31
5.32
Проверьте себя
5.33
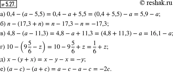
Условие:
5.27. Упростите выражение:
а) 0,4 - (a - 5,5); в) 4,8 - (a - 11,3); д) x - (y + x);
б) n - (17,3 + n); г) 10 - (9 5/6 - z); е) (a - c) - (a + c).
Решение - 5.27 - §5 Решение уравнений:
5.26
5.27
5.28
5.29
5.3
5.31
5.32
Проверьте себя
5.33