Избранное
Войти
Меню
1 класс
Математика
2 класс
Математика
Русский язык
Окружающий мир
3 класс
Русский язык
Математика
Английский язык
Окружающий мир
4 класс
Русский язык
Математика
Английский язык
Окружающий мир
5 класс
Математика
Английский язык
Русский язык
6 класс
Математика
Русский язык
Английский язык
Биология
Немецкий язык
7 класс
Русский язык
Английский язык
Алгебра
Физика
Литература
Геометрия
8 класс
Английский язык
Русский язык
Алгебра
Геометрия
Физика
Химия
Немецкий язык
9 класс
Английский язык
Русский язык
Алгебра
Геометрия
Физика
Химия
Немецкий язык
10 класс
Английский язык
Русский язык
Алгебра
Геометрия
Химия
Физика
11 класс
Английский язык
Физика
Русский язык
Геометрия
Алгебра
1
2
3
4
5
6
7
8
9
10
11
Математика 6 класс - Виленкин, Жохов, Чесноков, Шварцбурд - ГДЗ
5.47
5.46
5.47
5.48
5.49
5.5
5.51
5.52
5.53
5.54
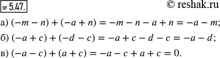
Условие:
5.47. Запишите сумму выражений и упростите её:
а) -m - n и -а + n; б) -а + с и -d - с; в) -а - с и а + с.
Решение - 5.47 - §5 Решение уравнений:
5.46
5.47
5.48
5.49
5.5
5.51
5.52
5.53
5.54