Избранное
Войти
Меню
1 класс
Математика
2 класс
Математика
Русский язык
Окружающий мир
3 класс
Русский язык
Математика
Английский язык
Окружающий мир
4 класс
Русский язык
Математика
Английский язык
Окружающий мир
5 класс
Математика
Английский язык
Русский язык
6 класс
Математика
Русский язык
Английский язык
Биология
Немецкий язык
7 класс
Русский язык
Английский язык
Алгебра
Физика
Литература
Геометрия
8 класс
Английский язык
Русский язык
Алгебра
Геометрия
Физика
Химия
Немецкий язык
9 класс
Английский язык
Русский язык
Алгебра
Геометрия
Физика
Химия
Немецкий язык
10 класс
Английский язык
Русский язык
Алгебра
Геометрия
Химия
Физика
11 класс
Английский язык
Физика
Русский язык
Геометрия
Алгебра
1
2
3
4
5
6
7
8
9
10
11
Математика 6 класс - Виленкин, Жохов, Чесноков, Шварцбурд - ГДЗ
6.98
6.97
6.98
6.99
6.1
6.101
6.102
6.103
6.104
6.105
Условие:
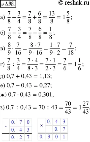
6.98. Выполните действия:
а) 7/8 + 3/4; в) 8/9 · 7/16; д) 0,7 + 0,43; ж) 0,7 · 0,43;
б) 7/8 - 3/4; г) 7/8 : 3/4; е) 0,7 - 0,43; з) 0,7 : 0,43.
Решение - 6.98 - §6 Решение уравнений:
6.97
6.98
6.99
6.1
6.101
6.102
6.103
6.104
6.105