Избранное
Войти
Меню
1 класс
Математика
2 класс
Математика
Русский язык
Окружающий мир
3 класс
Русский язык
Математика
Английский язык
Окружающий мир
4 класс
Русский язык
Математика
Английский язык
Окружающий мир
5 класс
Математика
Английский язык
Русский язык
6 класс
Математика
Русский язык
Английский язык
Биология
Немецкий язык
7 класс
Русский язык
Английский язык
Алгебра
Физика
Литература
Геометрия
8 класс
Английский язык
Русский язык
Алгебра
Геометрия
Физика
Химия
Немецкий язык
9 класс
Английский язык
Русский язык
Алгебра
Геометрия
Физика
Химия
Немецкий язык
10 класс
Английский язык
Русский язык
Алгебра
Геометрия
Химия
Физика
11 класс
Английский язык
Физика
Русский язык
Геометрия
Алгебра
1
2
3
4
5
6
7
8
9
10
11
Алгебра 8 класс - Мордкович - ГДЗ
14.23
14.22
14.23
14.24
14.25
14.26
14.27
14.28
14.29
14.3
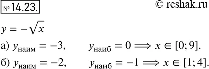
Условие:
13.23. Дана функция у = - корень х. Укажите, какому промежутку принадлежит переменная х, если на этом промежутке:
В) yнаим= -3, yнаиб = 0;
б) унаим = -2, yнаиб=-1.
Решение - 14.23:
14.22
14.23
14.24
14.25
14.26
14.27
14.28
14.29
14.3