Избранное
Войти
Меню
1 класс
Математика
2 класс
Математика
Русский язык
Окружающий мир
3 класс
Русский язык
Математика
Английский язык
Окружающий мир
4 класс
Русский язык
Математика
Английский язык
Окружающий мир
5 класс
Математика
Английский язык
Русский язык
6 класс
Математика
Русский язык
Английский язык
Биология
Немецкий язык
7 класс
Русский язык
Английский язык
Алгебра
Физика
Литература
Геометрия
8 класс
Английский язык
Русский язык
Алгебра
Геометрия
Физика
Химия
Немецкий язык
9 класс
Английский язык
Русский язык
Алгебра
Геометрия
Физика
Химия
Немецкий язык
10 класс
Английский язык
Русский язык
Алгебра
Геометрия
Химия
Физика
11 класс
Английский язык
Физика
Русский язык
Геометрия
Алгебра
1
2
3
4
5
6
7
8
9
10
11
Алгебра 8 класс - Мордкович - ГДЗ
16.81
16.8
16.81
16.82
16.83
16.84
16.85
16.86
16.87
16.88
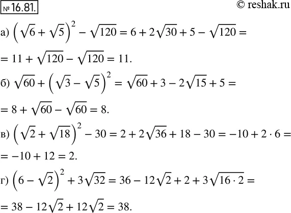
Условие:
Упростите выражение:
15.83 а) (корень 6 + корень 5)2 - корень 120;
б) корень 60 + (корень 3 - корень 5)2;
в) (корень 2 + корень 18)2 -30;
г) (6 - корень 2)2 + 3 корень 32.
Решение - 16.81:
16.8
16.81
16.82
16.83
16.84
16.85
16.86
16.87
16.88