Избранное
Войти
Меню
1 класс
Математика
2 класс
Математика
Русский язык
Окружающий мир
3 класс
Русский язык
Математика
Английский язык
Окружающий мир
4 класс
Русский язык
Математика
Английский язык
Окружающий мир
5 класс
Математика
Английский язык
Русский язык
6 класс
Математика
Русский язык
Английский язык
Биология
Немецкий язык
7 класс
Русский язык
Английский язык
Алгебра
Физика
Литература
Геометрия
8 класс
Английский язык
Русский язык
Алгебра
Геометрия
Физика
Химия
Немецкий язык
9 класс
Английский язык
Русский язык
Алгебра
Геометрия
Физика
Химия
Немецкий язык
10 класс
Английский язык
Русский язык
Алгебра
Геометрия
Химия
Физика
11 класс
Английский язык
Физика
Русский язык
Геометрия
Алгебра
1
2
3
4
5
6
7
8
9
10
11
Алгебра 8 класс - Мордкович - ГДЗ
20.28
20.27
20.28
20.29
20.3
20.31
20.32
20.33
20.34
20.35
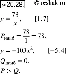
Условие:
18.28. Пусть Р — наибольшее значение функции у = 78/x на отрезке [1; 7], a Q — наибольшее значение функции у = -103x2 на отрезке [-5; 4]. Не выполняя построения, сравните Р и Q.
Решение - 20.28:
20.27
20.28
20.29
20.3
20.31
20.32
20.33
20.34
20.35