Избранное
Войти
Меню
1 класс
Математика
2 класс
Математика
Русский язык
Окружающий мир
3 класс
Русский язык
Математика
Английский язык
Окружающий мир
4 класс
Русский язык
Математика
Английский язык
Окружающий мир
5 класс
Математика
Английский язык
Русский язык
6 класс
Математика
Русский язык
Английский язык
Биология
Немецкий язык
7 класс
Русский язык
Английский язык
Алгебра
Физика
Литература
Геометрия
8 класс
Английский язык
Русский язык
Алгебра
Геометрия
Физика
Химия
Немецкий язык
9 класс
Английский язык
Русский язык
Алгебра
Геометрия
Физика
Химия
Немецкий язык
10 класс
Английский язык
Русский язык
Алгебра
Геометрия
Химия
Физика
11 класс
Английский язык
Физика
Русский язык
Геометрия
Алгебра
1
2
3
4
5
6
7
8
9
10
11
Алгебра 8 класс - Мордкович - ГДЗ
28.36
28.35
28.36
28.37
28.38
28.39
28.4
28.41
28.42
28.43
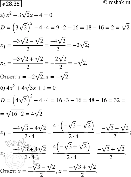
Условие:
Решите уравнение:
25.36. а) х2 + 3у (корень 2)*х +4 = 0;
б) 4х2 + 4 (корень 3)*х +1 = 0;
в) х2 - 3 (корень 5)*х - 20 = 0;
г) 4х2 - 2 (корень 7)* х +1 = 0.
Решение 1 - 28.36:
Решение 2 - 28.36:
28.35
28.36
28.37
28.38
28.39
28.4
28.41
28.42
28.43