Избранное
Войти
Меню
1 класс
Математика
2 класс
Математика
Русский язык
Окружающий мир
3 класс
Русский язык
Математика
Английский язык
Окружающий мир
4 класс
Русский язык
Математика
Английский язык
Окружающий мир
5 класс
Математика
Английский язык
Русский язык
6 класс
Математика
Русский язык
Английский язык
Биология
Немецкий язык
7 класс
Русский язык
Английский язык
Алгебра
Физика
Литература
Геометрия
8 класс
Английский язык
Русский язык
Алгебра
Геометрия
Физика
Химия
Немецкий язык
9 класс
Английский язык
Русский язык
Алгебра
Геометрия
Физика
Химия
Немецкий язык
10 класс
Английский язык
Русский язык
Алгебра
Геометрия
Химия
Физика
11 класс
Английский язык
Физика
Русский язык
Геометрия
Алгебра
1
2
3
4
5
6
7
8
9
10
11
Алгебра 8 класс - Мордкович - ГДЗ
28.46
28.45
28.46
28.47
28.48
29.1
29.2
29.3
29.4
29.5
Условие:
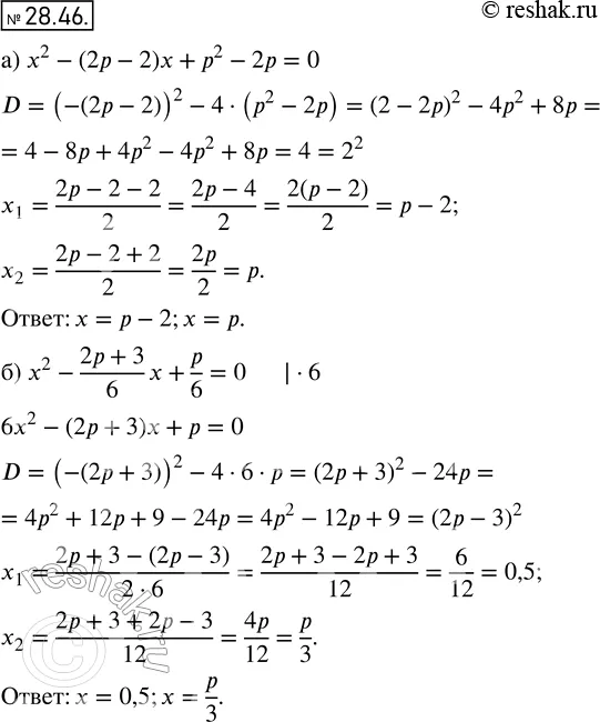
25.46. Решите уравнение с параметром р:
а) х2 - (2р - 2)х + р2 - 2р = 0;
б) x2 - (2p+3)/6 *x + p/6=0;
в) х2 - (1 - р)х -2р = 2р2;
г) x2 + (3p+2)/6 + p/6=0.
Решение 1 - 28.46:
Решение 2 - 28.46:
28.45
28.46
28.47
28.48
29.1
29.2
29.3
29.4
29.5