Избранное
Войти
Меню
1 класс
Математика
2 класс
Математика
Русский язык
Окружающий мир
3 класс
Русский язык
Математика
Английский язык
Окружающий мир
4 класс
Русский язык
Математика
Английский язык
Окружающий мир
5 класс
Математика
Английский язык
Русский язык
6 класс
Математика
Русский язык
Английский язык
Биология
Немецкий язык
7 класс
Русский язык
Английский язык
Алгебра
Физика
Литература
Геометрия
8 класс
Английский язык
Русский язык
Алгебра
Геометрия
Физика
Химия
Немецкий язык
9 класс
Английский язык
Русский язык
Алгебра
Геометрия
Физика
Химия
Немецкий язык
10 класс
Английский язык
Русский язык
Алгебра
Геометрия
Химия
Физика
11 класс
Английский язык
Физика
Русский язык
Геометрия
Алгебра
1
2
3
4
5
6
7
8
9
10
11
Алгебра 8 класс - Мордкович - ГДЗ
29.26
29.25
29.26
29.27
29.28
30.1
30.2
30.3
30.4
30.5
Условие:
26.26. а) (x2 - 3x + 1) (x2 - 3x + 3) = 3;
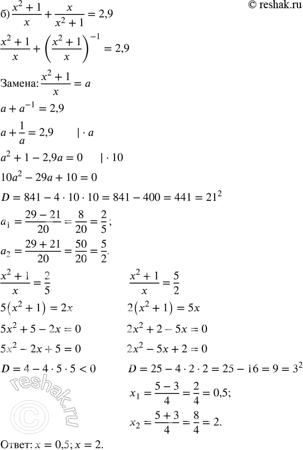
б) (x2+1)/x + x/(x2+1) = 2,9;
в) (x2 - 5x + 7)2 - (x - 2)(x - 3) = 1;
г) (x2+x-5)/x + 3x/(x2+x-5) + 4=0.
Решение 1 - 29.26:
Решение 2 - 29.26:
Решение 3 - 29.26:
Решение 4 - 29.26:
29.25
29.26
29.27
29.28
30.1
30.2
30.3
30.4
30.5