Избранное
Войти
Меню
1 класс
Математика
2 класс
Математика
Русский язык
Окружающий мир
3 класс
Русский язык
Математика
Английский язык
Окружающий мир
4 класс
Русский язык
Математика
Английский язык
Окружающий мир
5 класс
Математика
Английский язык
Русский язык
6 класс
Математика
Русский язык
Английский язык
Биология
Немецкий язык
7 класс
Русский язык
Английский язык
Алгебра
Физика
Литература
Геометрия
8 класс
Английский язык
Русский язык
Алгебра
Геометрия
Физика
Химия
Немецкий язык
9 класс
Английский язык
Русский язык
Алгебра
Геометрия
Физика
Химия
Немецкий язык
10 класс
Английский язык
Русский язык
Алгебра
Геометрия
Химия
Физика
11 класс
Английский язык
Физика
Русский язык
Геометрия
Алгебра
1
2
3
4
5
6
7
8
9
10
11
Алгебра 8 класс - Мордкович - ГДЗ
32.45
32.44
32.45
32.46
32.47
32.48
32.49
32.5
32.51
32.52
Условие:
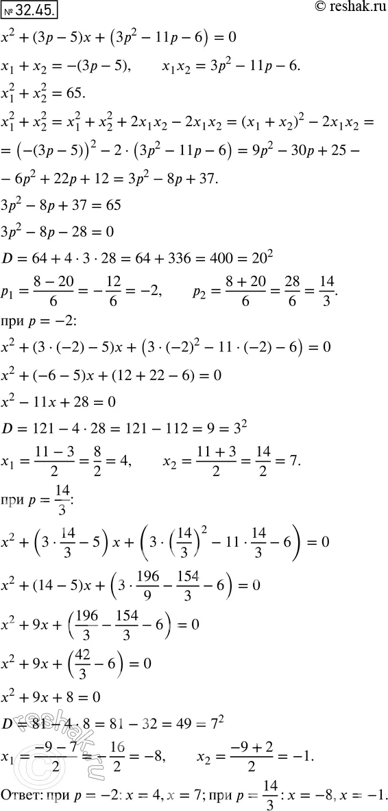
29.45. Дано уравнение x2 + (3р - 5)x + (3р2 - 11р - 6) = 0. Известно, что сумма квадратов его корней равна 65. Найдите значение параметра р и корни уравнения.
Решение - 32.45:
32.44
32.45
32.46
32.47
32.48
32.49
32.5
32.51
32.52