Условие:

30.22. а) корень (x + 1) - корень (9 - х) = корень (2х-12);
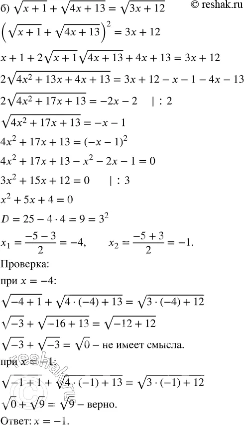
б) корень (х + 1) + корень (4x + 13) = корень (3х + 12);
в) корень (2х + 5) + корень (5х + 6) = корень (12x+25);
г) корень (2х + 3) - корень (4 - х) = корень (7 - х).

Решение 1 - 33.22:

Решение 1

Решение 2 - 33.22:

Решение 2

Решение 3 - 33.22:

Решение 3

Решение 4 - 33.22:

Решение 4