Избранное
Войти
Меню
1 класс
Математика
2 класс
Математика
Русский язык
Окружающий мир
3 класс
Русский язык
Математика
Английский язык
Окружающий мир
4 класс
Русский язык
Математика
Английский язык
Окружающий мир
5 класс
Математика
Английский язык
Русский язык
6 класс
Математика
Русский язык
Английский язык
Биология
Немецкий язык
7 класс
Русский язык
Английский язык
Алгебра
Физика
Литература
Геометрия
8 класс
Английский язык
Русский язык
Алгебра
Геометрия
Физика
Химия
Немецкий язык
9 класс
Английский язык
Русский язык
Алгебра
Геометрия
Физика
Химия
Немецкий язык
10 класс
Английский язык
Русский язык
Алгебра
Геометрия
Химия
Физика
11 класс
Английский язык
Физика
Русский язык
Геометрия
Алгебра
1
2
3
4
5
6
7
8
9
10
11
Алгебра 8 класс - Мордкович - ГДЗ
36.18
36.17
36.18
36.19
36.2
36.21
36.22
36.23
36.24
36.25
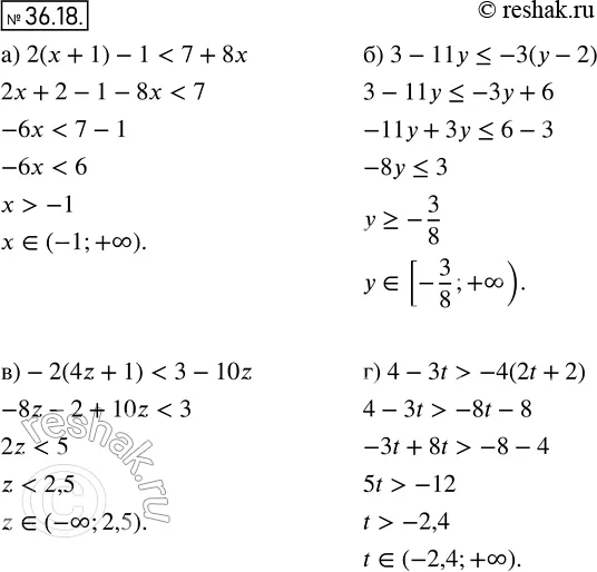
Условие:
33.18 а) 2(х + 1) - 1 < 7 + 8x;
б) 3 - 11у <= -3(у - 2);
в) -2(4z + 1) < 3 - 10z;
г) 4 - 3t > -4(2t + 2).
Решение - 36.18:
36.17
36.18
36.19
36.2
36.21
36.22
36.23
36.24
36.25