Избранное
Войти
Меню
1 класс
Математика
2 класс
Математика
Русский язык
Окружающий мир
3 класс
Русский язык
Математика
Английский язык
Окружающий мир
4 класс
Русский язык
Математика
Английский язык
Окружающий мир
5 класс
Математика
Английский язык
Русский язык
6 класс
Математика
Русский язык
Английский язык
Биология
Немецкий язык
7 класс
Русский язык
Английский язык
Алгебра
Физика
Литература
Геометрия
8 класс
Английский язык
Русский язык
Алгебра
Геометрия
Физика
Химия
Немецкий язык
9 класс
Английский язык
Русский язык
Алгебра
Геометрия
Физика
Химия
Немецкий язык
10 класс
Английский язык
Русский язык
Алгебра
Геометрия
Химия
Физика
11 класс
Английский язык
Физика
Русский язык
Геометрия
Алгебра
1
2
3
4
5
6
7
8
9
10
11
Алгебра 8 класс - Мордкович - ГДЗ
39.11
39.1
39.11
39.12
39.13
39.14
39.15
39.16
39.17
39.18
Условие:
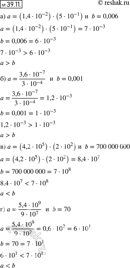
36.11. Сравните числа а и b:
а) а = (1,4 * 10^-2) * (5 * 10^-1) и b = 0,006;
б) а = (3,6*10^-7)/(3*10^-4) И b = 0,001;
в) а = (4,2 * 10^5) * (2 * 10^2) и b = 700000000;
г) a = (5,4 * 10^9)/(9*10^7) и b-70.
Решение - 39.11:
39.1
39.11
39.12
39.13
39.14
39.15
39.16
39.17
39.18