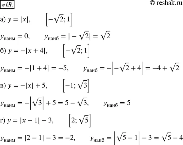
Условие:

49. Найдите наибольшее и наименьшее значения функции:
а) у = |x| на отрезке [— корень 2; 1];
б) у = — |x + 4| на отрезке [—л/2; 1];
в) у = - |x| + 5 на отрезке [-1; корень 3];
г) У = |x- 1| - 3 на отрезке [2; корень 5].

Решение - 49 - Итоговое повторение::

Решение 1