Условие:

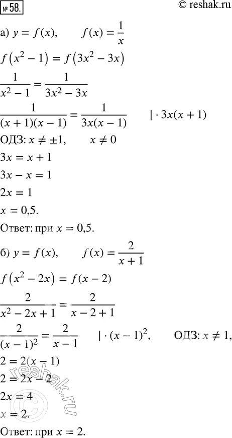
58. а) Дана функция у = f(x), где f(x) =1/x. При каком значении x выполняется равенство f(x2 - 1) = f(3x2 - 3x)?
б) Дана функция у = f(x), где f(x) = 2/(x+1). При каком значении x выполняется равенство f(x2 - 2x) = f(x - 2)?

Решение - 58 - Итоговое повторение::

Решение 1