Условие:

134. Сравните значения выражений:
а) корень 192 и 1/(7-4 корень 3) - 1/(7+4 корень 3);
б) 3 + 2 корень2 и корень 7 + корень 10;
в) корень 198 и 1/(5 корень 2 - 7) - 1/(5 корень 2+7);
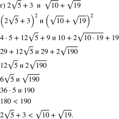
г) 2 корень 5 +3 и корень 10 + корень 19.

Решение 1 - 134 - Итоговое повторение::

Решение 1

Решение 2 - 134:

Решение 2