Избранное
Войти
Меню
1 класс
Математика
2 класс
Математика
Русский язык
Окружающий мир
3 класс
Русский язык
Математика
Английский язык
Окружающий мир
4 класс
Русский язык
Математика
Английский язык
Окружающий мир
5 класс
Математика
Английский язык
Русский язык
6 класс
Математика
Русский язык
Английский язык
Биология
Немецкий язык
7 класс
Русский язык
Английский язык
Алгебра
Физика
Литература
Геометрия
8 класс
Английский язык
Русский язык
Алгебра
Геометрия
Физика
Химия
Немецкий язык
9 класс
Английский язык
Русский язык
Алгебра
Геометрия
Физика
Химия
Немецкий язык
10 класс
Английский язык
Русский язык
Алгебра
Геометрия
Химия
Физика
11 класс
Английский язык
Физика
Русский язык
Геометрия
Алгебра
1
2
3
4
5
6
7
8
9
10
11
Алгебра 8 класс - Никольский, Потапов, Решетников, Шевкин, Шульцева - ГДЗ
29
28
29
30
31
32
33
34
35
36
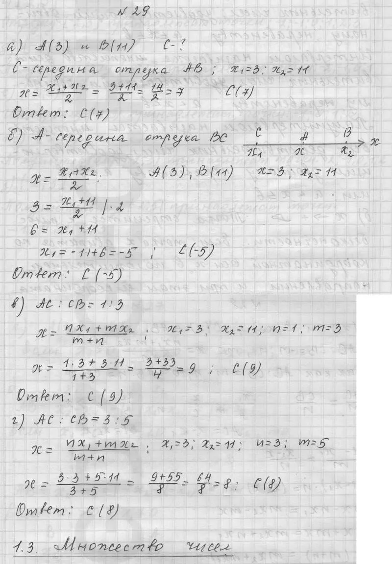
Условие:
Даны точки А(3) и В (11). Определите координату точки С, если:
а) С — середина отрезка АВ;
б) А — середина отрезка ВС;
в) АС : СВ = 1 : 3;
г) АС : СВ = 3 : 5.
Решение - 29:
28
29
30
31
32
33
34
35
36