Избранное
Войти
Меню
1 класс
Математика
2 класс
Математика
Русский язык
Окружающий мир
3 класс
Русский язык
Математика
Английский язык
Окружающий мир
4 класс
Русский язык
Математика
Английский язык
Окружающий мир
5 класс
Математика
Английский язык
Русский язык
6 класс
Математика
Русский язык
Английский язык
Биология
Немецкий язык
7 класс
Русский язык
Английский язык
Алгебра
Физика
Литература
Геометрия
8 класс
Английский язык
Русский язык
Алгебра
Геометрия
Физика
Химия
Немецкий язык
9 класс
Английский язык
Русский язык
Алгебра
Геометрия
Физика
Химия
Немецкий язык
10 класс
Английский язык
Русский язык
Алгебра
Геометрия
Химия
Физика
11 класс
Английский язык
Физика
Русский язык
Геометрия
Алгебра
1
2
3
4
5
6
7
8
9
10
11
Алгебра 8 класс - Никольский, Потапов, Решетников, Шевкин, Шульцева - ГДЗ
38
37
38
39
40
41
42
43
44
45
Условие:
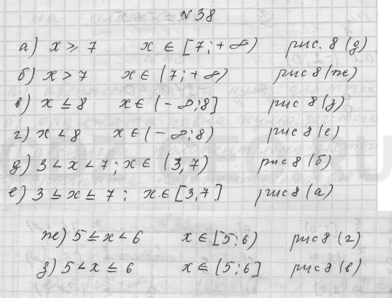
Какому из числовых промежутков, изображённых на рисунке 8, соответствует множество чисел х, удовлетворяющих неравенству:
а) х >= 7;
б) x > 7;
в) х <= 8;
г) x < 8;
д) 3 < x < 7;
е) 3 <= х <= 7;
ж) 5 <= х < 6;
з) 5 < х <= 6?
Решение - 38:
37
38
39
40
41
42
43
44
45