Избранное
Войти
Меню
1 класс
Математика
2 класс
Математика
Русский язык
Окружающий мир
3 класс
Русский язык
Математика
Английский язык
Окружающий мир
4 класс
Русский язык
Математика
Английский язык
Окружающий мир
5 класс
Математика
Английский язык
Русский язык
6 класс
Математика
Русский язык
Английский язык
Биология
Немецкий язык
7 класс
Русский язык
Английский язык
Алгебра
Физика
Литература
Геометрия
8 класс
Английский язык
Русский язык
Алгебра
Геометрия
Физика
Химия
Немецкий язык
9 класс
Английский язык
Русский язык
Алгебра
Геометрия
Физика
Химия
Немецкий язык
10 класс
Английский язык
Русский язык
Алгебра
Геометрия
Химия
Физика
11 класс
Английский язык
Физика
Русский язык
Геометрия
Алгебра
1
2
3
4
5
6
7
8
9
10
11
Алгебра 8 класс - Никольский, Потапов, Решетников, Шевкин, Шульцева - ГДЗ
357
356
357
358
359
360
361
362
363
364
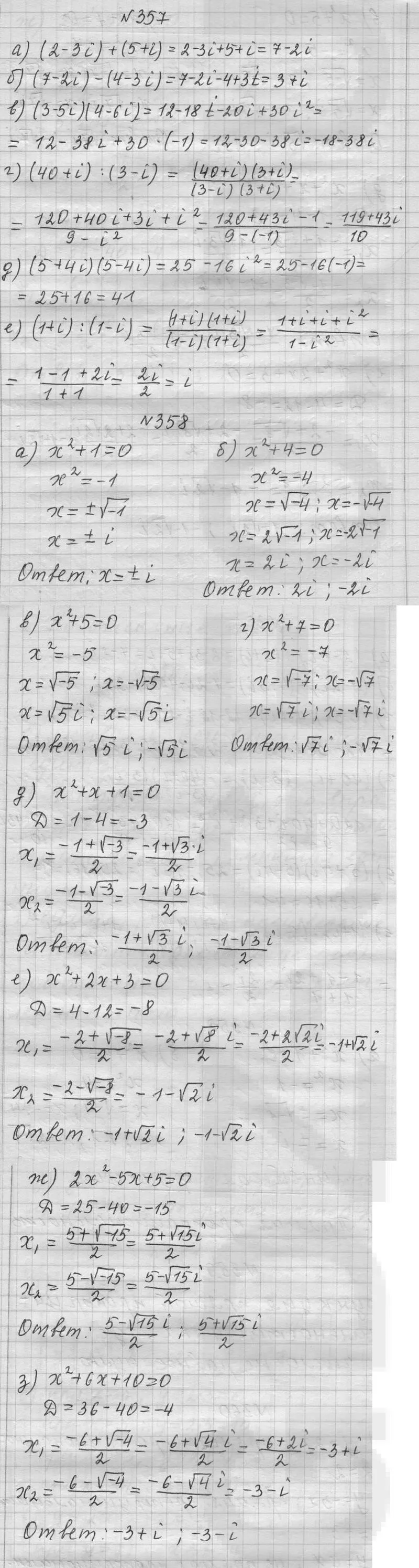
Условие:
Выполните указанные действия:
а) (2 - 3i) + (5 + i);
б) (7 - 2i) - (4 - 3i);
в) (3 - 5i) (4 - 6i);
г) (40 + i) : (3 - i);
д) (5 + 4i) (5 - 4i);
е) (1 + i): (1-i).
Решение - 357:
356
357
358
359
360
361
362
363
364