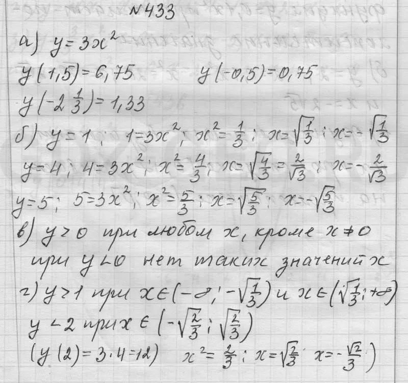
Условие:

С помощью графика функции у = Зх2 (№ 432) определите:
а) у(1,5), y(-2*1/3), y(-0,5);
б) при каких значениях х верно равенство: у = 1; у = 4; у = 5;
в) при каких значениях х верно неравенство: у > 0; у < 0;
г) при каких значениях л: верно неравенство: у > 1; у < 2.

Решение - 433:

Решение 1