Избранное
Войти
Меню
1 класс
Математика
2 класс
Математика
Русский язык
Окружающий мир
3 класс
Русский язык
Математика
Английский язык
Окружающий мир
4 класс
Русский язык
Математика
Английский язык
Окружающий мир
5 класс
Математика
Английский язык
Русский язык
6 класс
Математика
Русский язык
Английский язык
Биология
Немецкий язык
7 класс
Русский язык
Английский язык
Алгебра
Физика
Литература
Геометрия
8 класс
Английский язык
Русский язык
Алгебра
Геометрия
Физика
Химия
Немецкий язык
9 класс
Английский язык
Русский язык
Алгебра
Геометрия
Физика
Химия
Немецкий язык
10 класс
Английский язык
Русский язык
Алгебра
Геометрия
Химия
Физика
11 класс
Английский язык
Физика
Русский язык
Геометрия
Алгебра
1
2
3
4
5
6
7
8
9
10
11
Алгебра 8 класс - Никольский, Потапов, Решетников, Шевкин, Шульцева - ГДЗ
699
698
699
700
701
702
703
704
705
706
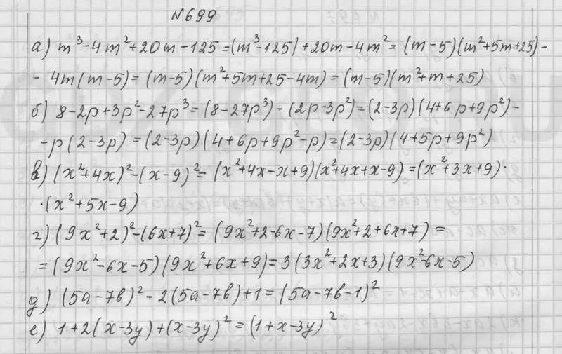
Условие:
а) m3 - 4m2 + 20m - 125;
б) 8-2р + 3р2 - 27р3;
в) (х2 + 4х)2 - (х — 9)2;
г) (9x2 + 2)2 - (6х + 7)2;
д) (5а - 7b)2 - 2(5а - 7b) + 1;
е) 1 + 2(х - 3у) + (х - 3у)2.
Решение - 699:
698
699
700
701
702
703
704
705
706