Избранное
Войти
Меню
1 класс
Математика
2 класс
Математика
Русский язык
Окружающий мир
3 класс
Русский язык
Математика
Английский язык
Окружающий мир
4 класс
Русский язык
Математика
Английский язык
Окружающий мир
5 класс
Математика
Английский язык
Русский язык
6 класс
Математика
Русский язык
Английский язык
Биология
Немецкий язык
7 класс
Русский язык
Английский язык
Алгебра
Физика
Литература
Геометрия
8 класс
Английский язык
Русский язык
Алгебра
Геометрия
Физика
Химия
Немецкий язык
9 класс
Английский язык
Русский язык
Алгебра
Геометрия
Физика
Химия
Немецкий язык
10 класс
Английский язык
Русский язык
Алгебра
Геометрия
Химия
Физика
11 класс
Английский язык
Физика
Русский язык
Геометрия
Алгебра
1
2
3
4
5
6
7
8
9
10
11
Алгебра 8 класс - Никольский, Потапов, Решетников, Шевкин, Шульцева - ГДЗ
751
750
751
752
753
754
755
756
757
758
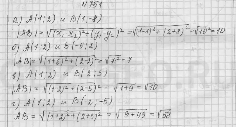
Условие:
Найдите расстояние между точками: а) А(1; 2) и B( 1; -8); б) А(1; 2) и В(-6; 2); в) А(1; 2) и В(2; 5); г) А(1; 2) и В(-2; -5).
Решение - 751:
750
751
752
753
754
755
756
757
758