Условие:

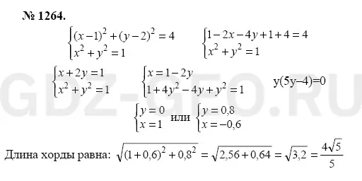
Найдите точки пересечения двух окружностей, заданных уравнениями (x - 1)2 + (y - 2)2 = 4 и x2 + y2 = 1, и вычислите длину их общей хорды.

Решение 1 - 1264 - Глава 14:

Решение 1

Решение 2 - 1264:

Решение 2

Решение 3 - 1264:

Решение 3

Видео решение - 1264: