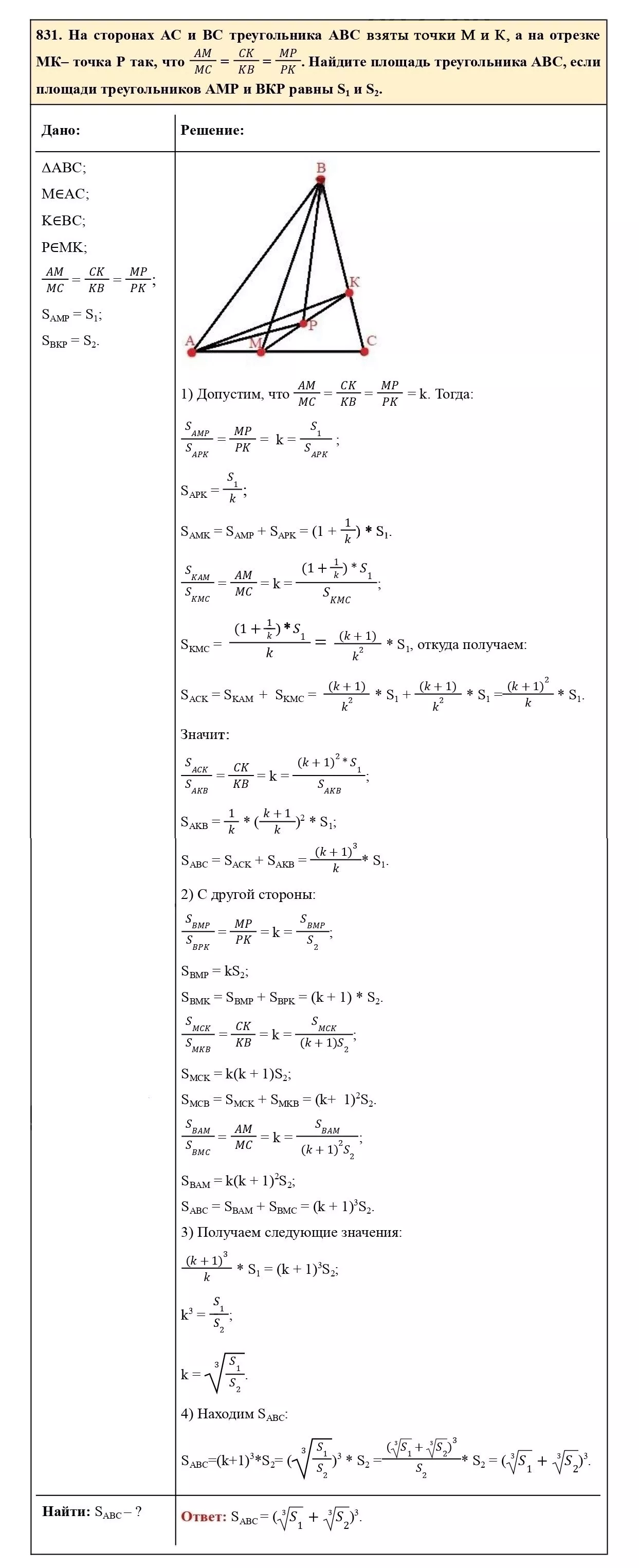
Условие:

На сторонах АС и ВС треугольника АВС взяты точки М и К, а на отрезке МК - точка Р так, что Условие 1. Найдите площадь треугольника АВС, если площади треугольников АМР и ВКР равны S1 и S2.

Решение 1 - 831 - Глава 9:

Решение 1

Решение 2 - 831:

Решение 2

Решение 3 - 831:

Решение 3

Видео решение - 831: