Условие:

Найдите расстояние между точками А и В, если:

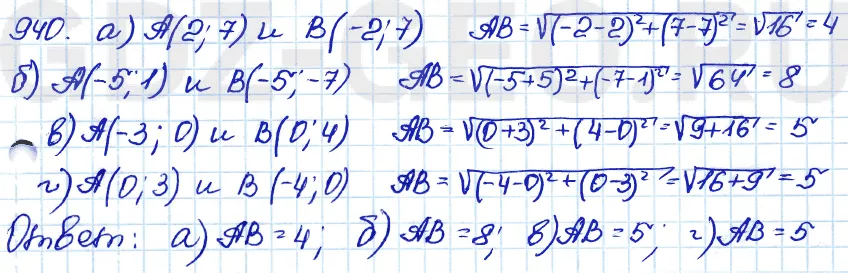
а) А(2; 7), В(- 2; 7); б) А(- 5; 1), В(- 5; - 7); в) А(-3; 0), В(0; 4); г) А(0; 3), В(- 4; 0).

Решение 1 - 940 - Глава 10:

Решение 1

Решение 2 - 940:

Решение 2

Решение 3 - 940:

Решение 3

Видео решение 1 - 940:

Видео решение 2 - 940:

Видео решение 3 - 940: