Условие:

Действуем по алгоритму (405 — 407) Решите уравнение.
405.
а) (x + 2)/(x + 1) + (x + 3)/(x - 1) = 4/(x^2 - 1);
б) (4 - x)/(x + 2) + (x - 1)/(x - 2) = x^2/(x^2 - 4);
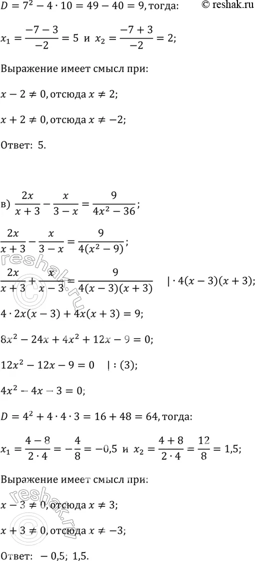
в) 2x/(x + 3) - x/(3 - x) = 9/(4x^2 - 36);
г) 5/(x^2 - 4) + x/(2 - x) = 2x/(x + 2).

Решение 1 - 405 - Упражнения №3:

Решение 1

Решение 2 - 405:

Решение 2

Решение 3 - 405:

Решение 3