Избранное
Войти
Меню
1 класс
Математика
2 класс
Математика
Русский язык
Окружающий мир
3 класс
Русский язык
Математика
Английский язык
Окружающий мир
4 класс
Русский язык
Математика
Английский язык
Окружающий мир
5 класс
Математика
Английский язык
Русский язык
6 класс
Математика
Русский язык
Английский язык
Биология
Немецкий язык
7 класс
Русский язык
Английский язык
Алгебра
Физика
Литература
Геометрия
8 класс
Английский язык
Русский язык
Алгебра
Геометрия
Физика
Химия
Немецкий язык
9 класс
Английский язык
Русский язык
Алгебра
Геометрия
Физика
Химия
Немецкий язык
10 класс
Английский язык
Русский язык
Алгебра
Геометрия
Химия
Физика
11 класс
Английский язык
Физика
Русский язык
Геометрия
Алгебра
1
2
3
4
5
6
7
8
9
10
11
Алгебра 9 класс - Дорофеев - ГДЗ
446
445
446
447
448
449
450
451
452
453
Условие:
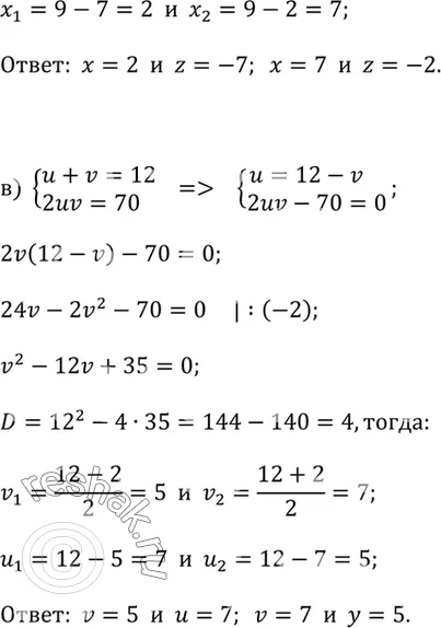
Решите систему уравнений способом подстановки, воспользовавшись в качестве образца примером 3 (446- 448).
446.
а) x + y = -11 и xy = -12;
б) xz = -14 и x - z = 9;
в) u + v = 12 и 2uv = 70.
Решение 1 - 446 - Упражнения №3:
Решение 2 - 446:
445
446
447
448
449
450
451
452
453