Избранное
Войти
Меню
1 класс
Математика
2 класс
Математика
Русский язык
Окружающий мир
3 класс
Русский язык
Математика
Английский язык
Окружающий мир
4 класс
Русский язык
Математика
Английский язык
Окружающий мир
5 класс
Математика
Английский язык
Русский язык
6 класс
Математика
Русский язык
Английский язык
Биология
Немецкий язык
7 класс
Русский язык
Английский язык
Алгебра
Физика
Литература
Геометрия
8 класс
Английский язык
Русский язык
Алгебра
Геометрия
Физика
Химия
Немецкий язык
9 класс
Английский язык
Русский язык
Алгебра
Геометрия
Физика
Химия
Немецкий язык
10 класс
Английский язык
Русский язык
Алгебра
Геометрия
Химия
Физика
11 класс
Английский язык
Физика
Русский язык
Геометрия
Алгебра
1
2
3
4
5
6
7
8
9
10
11
Алгебра 9 класс - Дорофеев - ГДЗ
525
524
525
526
527
528
529
530
531
532
Условие:
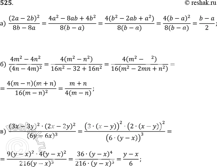
525.
а) (2a - 2b)^2/(8b - 8a);
б) (4m^2 - 4n^2)/(4n - 4m)^2;
в) ((3x - 3y)^2(2x - 2y)^2/(6y - 6x)^3.
Решение - 525 - Упражнения №3:
524
525
526
527
528
529
530
531
532