Условие:

659.
а) Найдите знаменатель геометрической прогрессии (b_n), если известно два её члена: b_3 = 10^7 и b_5 = 10^5. Восстановите прогрессию с первого по пятый член включительно. Сколько решений у вас получилось?
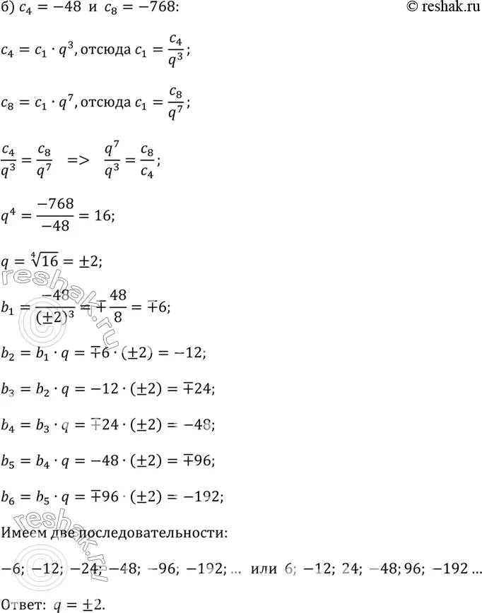
б) Известно два члена геометрической прогрессии (c_n): с_4 = -48 и с_8 = -768. Выпишите все её члены с первого по шестой. Сколько решений у вас получилось?

Решение 1 - 659 - Упражнения №4:

Решение 1

Решение 2 - 659:

Решение 2