Избранное
Войти
Меню
1 класс
Математика
2 класс
Математика
Русский язык
Окружающий мир
3 класс
Русский язык
Математика
Английский язык
Окружающий мир
4 класс
Русский язык
Математика
Английский язык
Окружающий мир
5 класс
Математика
Английский язык
Русский язык
6 класс
Математика
Русский язык
Английский язык
Биология
Немецкий язык
7 класс
Русский язык
Английский язык
Алгебра
Физика
Литература
Геометрия
8 класс
Английский язык
Русский язык
Алгебра
Геометрия
Физика
Химия
Немецкий язык
9 класс
Английский язык
Русский язык
Алгебра
Геометрия
Физика
Химия
Немецкий язык
10 класс
Английский язык
Русский язык
Алгебра
Геометрия
Химия
Физика
11 класс
Английский язык
Физика
Русский язык
Геометрия
Алгебра
1
2
3
4
5
6
7
8
9
10
11
Алгебра 9 класс - Мордкович, Мишустина, Тульчинская - ГДЗ
18
17
18
19
20
21
22
23
24
25
Условие:
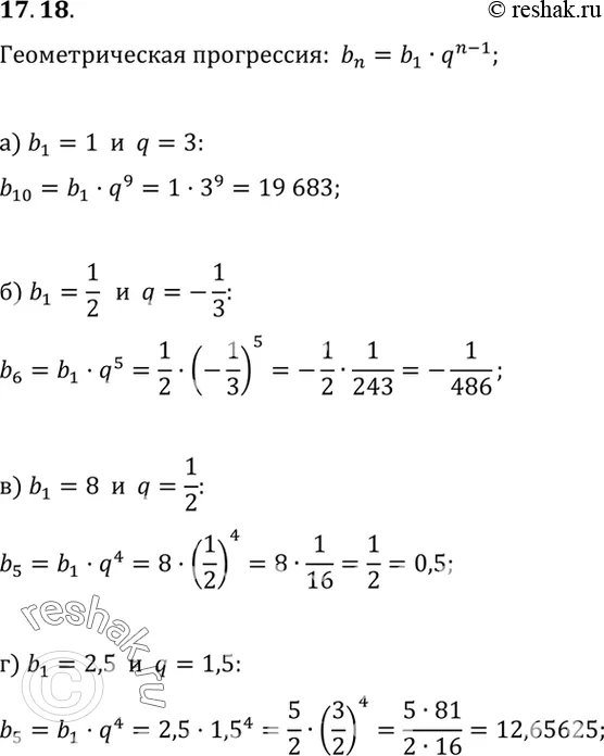
17.18. Дана конечная геометрическая прогрессия (bn). Найдите bn, если известно, что:
а) b1=1, q=3,n=10;
б) b1=1/2, q=-1/3,n=6;
в) b1=8, q=1/2,n=5;
г) b1=2,5, q=1,5,n=5.
Решение - 18 - Параграф §17. Геометрическая прогрессия:
17
18
19
20
21
22
23
24
25