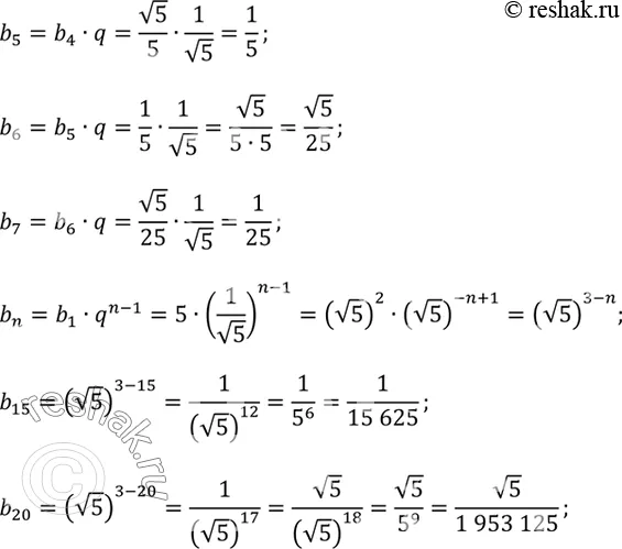
Условие:

653. Дана геометрическая прогрессия. Найдите её знаменатель и выпишите следующие три члена этой прогрессии:
а) 2; 2v2; 4; 4v2; ...;
б) 5; v5; 1; v5/5; ... .
В каждом случае запишите формулу n-го члена этой прогрессии и найдите: 15-й член; 20-й член.

Решение 1 - 653 - Упражнения №4:

Решение 1

Решение 2 - 653:

Решение 2